T E O R I A     (Referencial Físico Matemático)
Imprimir Imprimir

1. O POSTULADO DE DE BROGLIE

Em 1905, Albert Einstein sugeriu que a luz exibe um comportamento corpuscular ao propor a teoria que explica o Efeito Fotoelétrico. O fóton de luz é um pacote de energia de valor h.f, onde h é a constante de Planck e f é a frequência da onda luminosa correspondente. Ou seja, a natureza ondulatória não foi abandonada, ao contrário, a luz apresenta natureza dual, isto é, ora comporta-se como onda em experimentos de difração, interferência e polarização, mas comporta-se como partícula ao arrancar elétrons de um metal.


Da energia do fóton

          (1)



e da equação da energia relativística de Einstein

 

          (2)

 

e ainda considerando que o fóton não existe em repouso, isto é, sua massa de repouso é nula, mo= 0, temos

  

ou 

            (3)

A expressão mostra o momento associado ao fóton. O comprimento de onda da onda associada ao seu movimento é

          (4)

Em 1924, Luiz De Broglie propôs a existência de ondas de matéria, ou seja, o caráter dual não era somente uma característica da luz. Por simetria, De Broglie postulou que uma partícula de matéria tem uma onda associada ao seu movimento tal que

          (5)

onde lDB é o comprimento de onda de De Broglie de uma onda de matéria associada ao movimento de uma partícula material que tem momento p.

As idéias de De Broglie não tinham evidências experimentais na época. Cerca de cinco anos mais tarde, a quantidade de resultados de experiências motivadas por suas ideias e que confirmavam as hipóteses era tão grande que ele ganhou o Prêmio Nobel de Física.


Mas qual o tipo de experimento poderia evidenciar o caráter ondulatório da matéria? Para discutir essa questão, vamos calcular o comprimento de onda de De Broglie de algumas partículas.


Imagine um objeto de massa de 1 kg com velocidade v=10 m/s. O comprimento de onda da onda associada ao seu movimento será

       

Esse comprimento de onda é tão pequeno que não pode interagir com nenhum sistema conhecido, redes de difração, por exemplo. É impossível evidenciar o caráter ondulatório nesse caso. Porém, imagine agora elétrons que possuem massa 9,1 x 10-31 kg com uma energia de 100 eV (1 eV é a energia adquirida por um elétron quando acelerado por uma ddp de 1V).

             (6)

          

 

Esse comprimento de onda, da ordem de 1Ao (1 angstron=10-10 m), é próximo ao comprimento de onda de raios X. Por volta de 1912, Max von Laue elaborou um experimento para realizar difração de raios X, utilizando uma estrutura cristalina como rede de difração tridimensional. Logo depois William Henry Bragg e seu filho William Lawrence Bragg demonstraram a relação que passou a ser conhecida como Lei de Bragg, fundamental para o estudo de estruturas cristalinas com o uso da difração de raios X.


1.1 Difração de elétrons

A difração de raios X em cristais permitia determinar a distância entre diferentes planos interatômicos de acordo com a Lei de Bragg. Cristais são estruturas caracterizadas por um arranjo periódico e bem ordenado de seus componentes. A figura 1 mostra a regularidade dos átomos dispostos num cristal e a figura 2 mostra o caminho das ondas de raios X.

Figura 1: Estrutura de um cristal: a distância interatômica é regular.
Fonte: http://www.freespiritproductions.com/pdatom.jpg

 

Figura 2: Lei de Bragg para a difração de RX num cristal.
Fonte: http://www.ucs.br/ccet/defq/naeq/material_didatico/textos_interativos_39.htm

 

Lei de Bragg: Nl = 2 d sen q           (7)

A Lei de Bragg exprime o fenômeno de interferência construtiva entre ondas que são refletidas por uma rede cristalina e tem uma diferença de caminho ótico igual a um múltiplo inteiro N de l. A distância d entre os planos interatômicos pode ser determinada se l é conhecido. A figura 3 é uma foto do resultado obtido quando um feixe de raios X atravessa uma fina folha de ZrO2 (óxido de zircônio). Os anéis claros são resultantes das interferências construtivas das ondas de raios X.

Figura 3 - Difração de Raios X em cristais de óxido de zircônio. Fonte: Eisberg e Resnick, 1994


Em 1927, Davisson e Germer (USA) e G. P. Thomson (Escócia) basearam se nos experimentos de difração de raios X para realizar a difração de elétrons e ganharam o Prêmio Nobel de Física em 1937. Vamos estudar o experimento de difração de G. P. Thomson.
G. P. Thomson realizou difração de elétrons numa fina folha de ouro. Elétrons eram produzidos pelo aquecimento de um filamento e acelerados por uma diferença de potencial. Assim eles incidiam sobre o filme cristalino e sofriam a difração, de acordo com o esquema mostrado na figura 4.

Figura 4: Esquema do método de G. P. Thomson para obter a Difração de elétrons.
Fonte: http://www.scielo.br/scielo.php?pid=S1516-73132007000100007&script=sci_arttext




A figura 5 mostra o resultado obtido. A formação do padrão de difração, isto é, a produção de anéis de interferência construtiva e a coincidência entre o comprimento de onda previsto pela Lei de Bragg por meio da hipótese de De Broglie comprovaram a hipótese da natureza ondulatória dos elétrons. (DIFRAÇÃO..., 2009).

Figura 5 - Difração de elétrons em cristais de ouro.
Fonte: Eisberg e Resnick, 1994

Por meio da medição do raio do anel de interferência, foi possível determinar as distâncias interatômicas conhecidas de cristais tais como a grafite. No esquema a seguir, r é o raio do anel e l é a distância entre o cristal e a tela de projeção. (ESTRUTURA...,2009).


Figura 6: Relação entre o raio do anel e a distância interatômica do cristal.
Fonte: Cavalcante e Tavolaro (2007).




Da figura 6 temos:          (8)

Como o ângulo a é bem menor que 10o , podemos dizer que r' r, onde r corresponde ao valor do raio medido diretamente na ampola. Por outro lado, temos que sen2a = 2sena cosa, para ângulos pequenos, podemos fazer a aproximação cosa 1 e assim;

          (9)

Na figura 2, vimos que o ângulo a corresponde ao ângulo 2q da Lei de Bragg. Substituindo, teremos:

          (10)

como a=2q teremos:

          (11)

Para as condições estabelecidas (da montagem), temos q menor que 50 e isto permite aproximar a relação acima na seguinte expressão:

          (12)

mas de acordo com a Lei de Bragg:

          

Então:

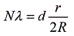
           (13)

Logo, a distância interatômica pode ser determinada se l é conhecido e r é medido experimentalmente, pois

          (14)

A partir da constatação da difração dos elétrons e, mais tarde, de prótons e nêutrons (apesar de serem bem mais massivos do que o elétron e por isso mais difícil a observação do comportamento ondulatório), concluiu-se que todas as partículas de matéria têm comportamento dual. Neils Bohr, que já havia utilizado o comportamento dual da radiação eletromagnética em seu modelo atômico, generalizou o conceito de dualidade através do Princípio da Correspondência:


"Os modelos corpuscular e ondulatório são complementares. Se uma medida prova o caráter ondulatório da radiação ou da matéria, então é impossível provar o caráter corpuscular na mesma medida. A compreensão da radiação e da matéria só é completa se levamos em consideração experimentos que provém tanto o caráter ondulatório quanto o caráter corpuscular."


A dualidade impulsionou o desenvolvimento da Física Quântica já que a mecânica determinística de Newton e o eletromagnetismo de Maxwell não conseguiam mais explicar o comportamento das entidades físicas microscópicas.


REFERÊNCIAS